| | | | | | | | | | | | | | | | | | | | | | | | | | | | | | | | | | | | | | | | | | | | | | | | | | | | | | | | | | | | | | | | | | | | | | | | | | | | | | | | | | | | | | | | |
| |
|
|
|
| |
Historie und Wirkprinzip des DARTolisator2003 | |
|
|
|
| |
|
|
|
|
| |
 | |
|
|
|
|
|
| |
Die Wirkungsweise des DARTolisator2003 beruht auf einem grundlegenden Prinzip der Festkörperphysik, dem sogenannten "Potentialtopf". Erstmals ist es uns gelungen, ein Phänomenon der Quantenmechanik direkt in die Makrophysik umzusetzen und sofort Nutzen daraus zu ziehen: eine 100 % - in Worten: einhundertprozentige Trefferqoute das "Bulleye" betreffend. Generationen von Physikern scheiterten an diesem Problem, erst der Verzehr eines Kasten Branik an einem Montagabend führte die Lösung direkt vor Augen. Somit fand die Geburt der modernen Dartmechanik auf einem Balkon in Königs Wusterhausen, im Beisein der Gründungsmitglieder des "Stammtischverlag e.V.", statt. |
|
|
|
|
|
|
|
|
|
|
|
|
|
|
|
|
|
|
|
|
|
|
|
|
| |
|
|
|
| |
|
|
Abb.1: Prinzip des DARTolisator2003 |
|
|
| |
|
|
|
| |
Mathematisch - physikalischer Hintergrund | |
|
|
|
| |
|
|
|
|
|
| |
 | |
|
|
| |
Zur Beschreibung des Trefferverhaltens von Dartpfeilen unter Benutzung des DARTolisator2003 wird das Verhalten eines Elektrons im Coulumbpotential herangezogen. Dabei steht das Elektron für den Dartpfeil und das Coulumbpotential für den DARTolisator2003. Zur Berechnung der Trefferwahrscheinlichkeit eines Dartpfeiles im DARTolisator2003 wird die Schrödingergleichung gelöst: | |
|
|
|
|
|
|
|
|
|
|
|
|
|
|
|
|
|
| |
|
| |
 | |
|
|
|
| |
|
|
Abb.2: Dualismus DARTolisator 2003 < > Coulumbpotential |
|
|
|
| |
| |
|
|
|
|
|
|
Insgesamt ergibt sich als Ergebnis der Rechnung eine Abhängigkeit der Pfeilniveaus und der zugehörigen dreidimensionalen Wellenfunktion von drei Quantenzahlen: E = En,l,m. |
|
|
|
| |
|
|
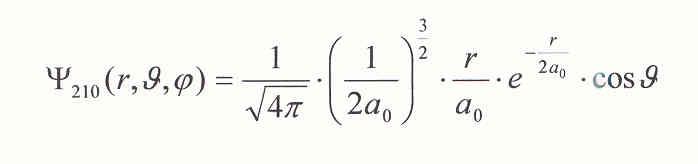
Darstellung der Wellenfunktion in Kugelkoordinaten: | |
|
|
| |
|
|
| |
 | |
|
|
|
|
|
|
|
|
|
|
| |
|
|
|
|
|
| |
 | |
 | |
|
|